青藏高原多年冻土区地表土壤热通量估算研究取得新进展
在青藏高原冻土区,由于地下冰的存在,冻融过程会通过改变土壤热传导和相变过程等方式影响地表能量收支。因而,在多年冻土区或季节冻土区估算地表土壤热通量时,近地表土壤水热特性的影响不可忽视。虽然在青藏高原站点尺度,已有估算方法考虑了近地表水热特性对地表土壤热通量估算的影响;但在卫星遥感像元尺度上,已有估算方法对近地表土壤水热特性的考虑还存在不足。
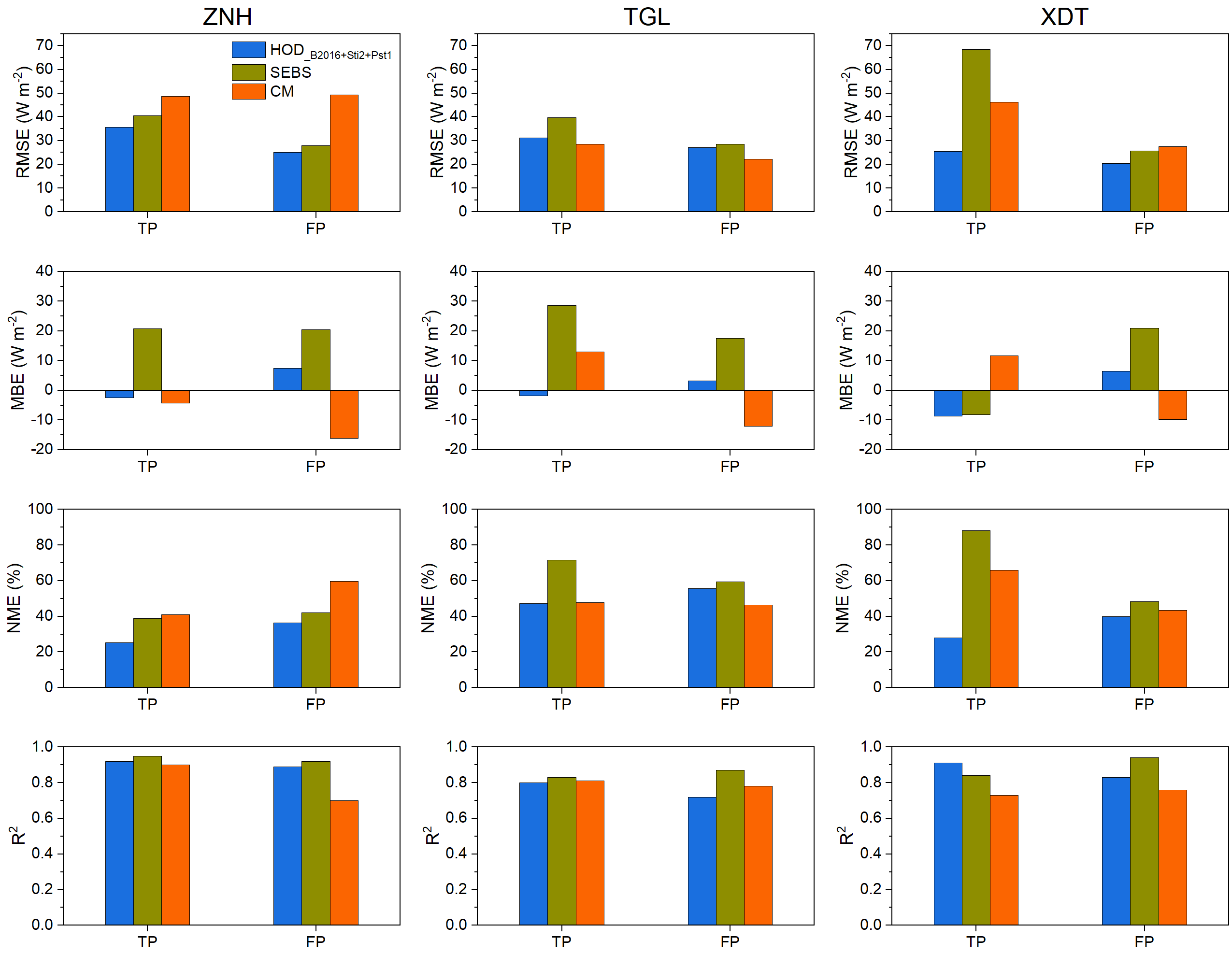
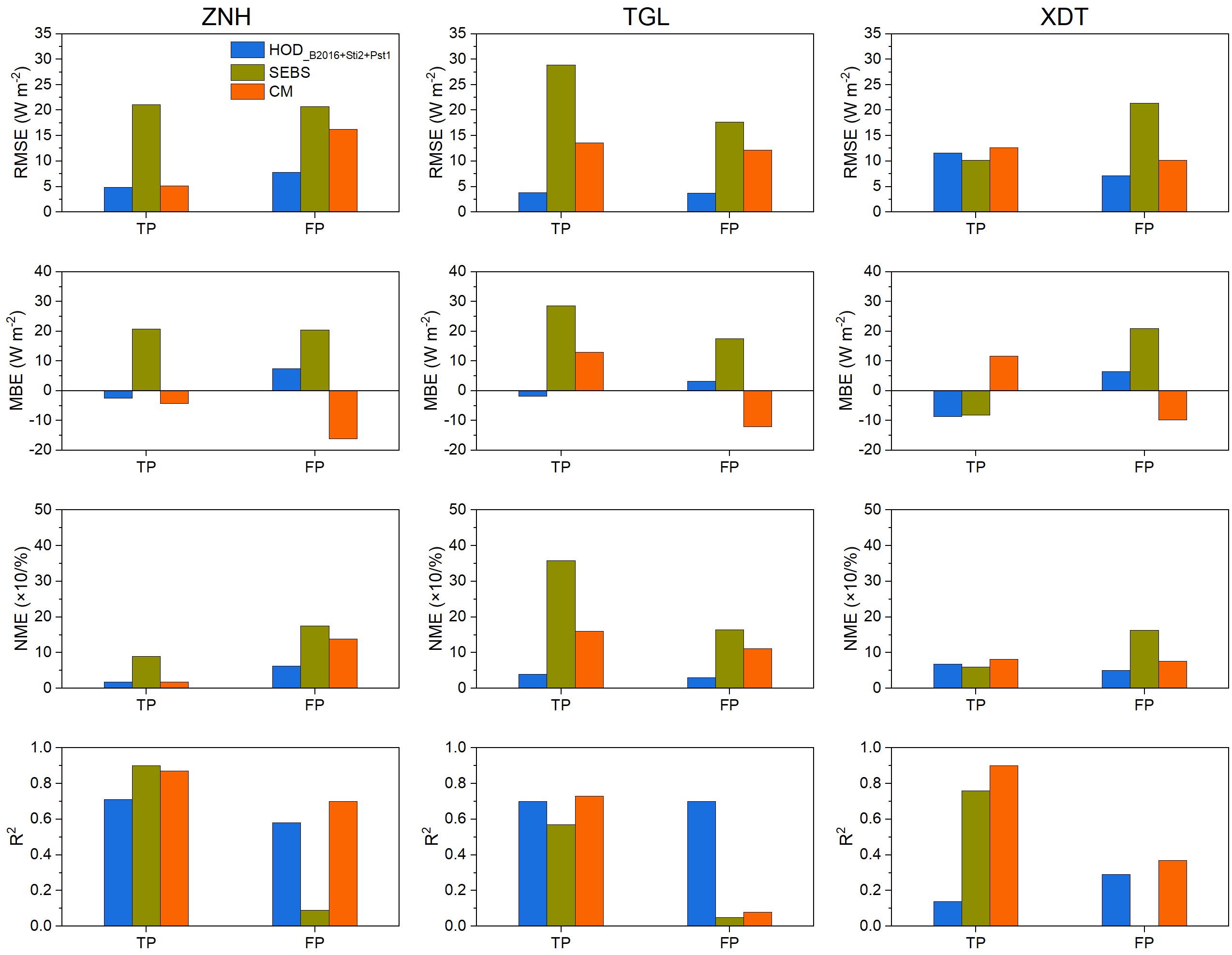
我站科研人员利用野外综合观测场资料和卫星遥感数据,将半阶导数法应用于青藏高原多年冻土区地表土壤热通量的估算。针对短时间尺度上(如:日内、日),使用地表温度LST数据输入半阶导数法估算地表土壤热通量的偏差大这一问题,从土壤热惯量计算、积分开始时刻以及考虑地表温度LST与地表土壤温度GST之间的相位差3个方面进行改进,改进后的半阶导数法能够较好地估算地表土壤热通量,误差较原始半阶导数法明显减小。
该研究在原始半阶导数法的基础上考虑了多年冻土区的地表水热特性,可以将改进方法引入冻土模型,有望为冻土模拟等研究提供更为可靠的上边界条件。同时,该方法可以应用于短时间尺度、高空间分辨率地表土壤热通量的估算上,有望提供更为精细的地表土壤热通量信息。
该研究成果以“An effective approach to estimate ground soil heat flux using half-order derivative method in permafrost regions of the Qinghai-Tibet Plateau”为题,发表在地学二区TOP期刊Journal of Hydrology: Regional Studies上。我站已毕业博士生尚程鹏为论文第一作者,吴通华研究员为论文通讯作者。
本项目得到国家重点研发计划项目(2022YFF0801903,2023YFC3206300)、中科院“西部之光”项目(xbzg-zdsys-202304)及冰冻圈科学与冻土工程国家重点实验室项目(CSFSE-TZ-2502)联合资助。

30分钟时间尺度上,HOD_B2016+Sti2+Pst1、SEBS和CM方案在土壤融化期TP和土壤冻结期FP估算地表土壤热通量的误差统计 
日尺度上,HOD_B2016+Sti2+Pst1、SEBS和CM方案在土壤融化期TP和土壤冻结期FP估算地表土壤热通量的误差统计

唐古拉和西大滩站土壤融化期(a, b)和土壤冻结期(c, d)地表温度LST和地表土壤温度GST平均的日内变化。竖实线表示LST和GST的峰值出现的时刻
图文:尚程鹏 审核:吴通华
附件下载: