-
03
2025/12
青藏高原多年冻土区地表土壤热通量估算研究取得新进展
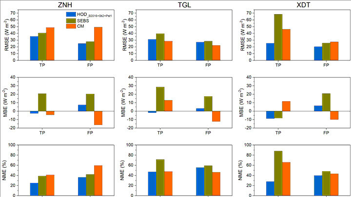
在青藏高原冻土区,由于地下冰的存在,冻融过程会通过改变土壤热传导和相变过程等方式影响地表能量收支。因而,在多年冻土区或季节冻土区估算地表土壤热通量时,近地表土壤水热特性的影响不可忽视。虽然在青藏高原站点尺度,已有估算方法考虑了近地表水热特性对地表土壤热通量估算的影响;但在卫星遥感像元尺度上,已有...
-
19
2025/11
我站在边缘多年冻土区植被–冻土–水分耦合研究取得新进展
气候变暖背景下,北半球多年冻土正在加速退化,但边缘多年冻土区土壤水分在垂向上如何分层、由谁主导,一直缺乏实地约束,制约了对寒区水文过程和生态响应的认识。位于兴安–贝加尔多年冻土南缘的东北根河流域,植被类型与多年冻土分布格局高度交错,是典型的边缘多年冻土区景观组合,为识别这种“边缘带”中的水分–冻...
-
04
2025/11
青藏高原多年冻土区土壤蒸发、热融湖塘水面蒸发和植被蒸腾对当地降水的贡献研究获新进展
水汽再循环是陆地水循环的重要组成部分。青藏高原日益暖湿化的气候对所在区域的水汽再循环有着显著影响。在多年冻土区——多年冻土退化引发下垫面条件发生显著变化,比如热融湖塘急剧扩张、植被与土壤水热条件不断变化等。这些变化会通过影响蒸散发过程进而改变水汽再循环的组成。然而当前针对热融湖塘水蒸发和植物蒸腾...
-
31
2025/08
青藏高原积雪–多年冻土相互作用研究取得新进展
青藏高原是全球最大的高海拔多年冻土区,其积雪分布以浅薄、短暂为主,与北极厚雪稳定的特征截然不同。积雪通过反照率、导热性和融雪潜热等作用,深刻影响地–气热量交换和多年冻土稳定。然而,以往研究多集中于北极厚雪环境,对于青藏高原这种以浅雪为主的独特机制仍缺乏实地证据。我站科研人员基于多年连续观测,系统... 青藏高原是全球最大的高海拔多年冻土区,其积雪分布以浅薄、短暂为主,与北极厚雪稳定的特征截然不同。积雪通过反照率、导热性和融雪潜热等作用,深刻影响地–气热量交换和多年冻土稳定。然而,以往研究多集中于北极厚雪环境,对于青藏高原这种以浅雪为主的独特机制仍缺乏实地证据。我站科研人员基于多年连续观测,系统...
-
19
2025/08
我站联合南京信息工程大学利用遥感形变和地球物理勘探技术反演多年冻土区活动层土壤含水量研究取得进展
多年冻土活动层土壤含水量对多年冻土区热力、水文及生态过程具有关键调控作用,但其空间量化仍具挑战性。多年冻土活动层土壤含水量显著影响寒区水热过程。首先,活动层土壤含水量直接调控冻融转换持续时间,影响土壤解冻与冻结进程;其次,湿润土壤与干燥土壤的热力学特性差异会改变活动层内部及向多年冻土层的热传导速... 多年冻土活动层土壤含水量对多年冻土区热力、水文及生态过程具有关键调控作用,但其空间量化仍具挑战性。多年冻土活动层土壤含水量显著影响寒区水热过程。首先,活动层土壤含水量直接调控冻融转换持续时间,影响土壤解冻与冻结进程;其次,湿润土壤与干燥土壤的热力学特性差异会改变活动层内部及向多年冻土层的热传导速...
-
18
2025/08
青藏高原五道梁多年冻土区地面形变机制研究取得进展
气候变化和人类活动影响下的青藏高原多年冻土稳定性研究具有至关重要的意义。InSAR能够有效监测多年冻土形变,通过活动层水热变化有效捕捉冻土变化的季节性和长期趋势。以往研究多集中于大尺度的冻土形变,但环境因子与人类活动在更精细尺度上的协同调控作用机制还不清楚。我站研究人员利用SBAS InSAR技术获取了五道梁多... 气候变化和人类活动影响下的青藏高原多年冻土稳定性研究具有至关重要的意义。InSAR能够有效监测多年冻土形变,通过活动层水热变化有效捕捉冻土变化的季节性和长期趋势。以往研究多集中于大尺度的冻土形变,但环境因子与人类活动在更精细尺度上的协同调控作用机制还不清楚。我站研究人员利用SBAS InSAR技术获取了五道梁多...
-
10
2025/08
青藏高原多年冻土与陆气相互作用研究取得重要进展
在全球变暖背景下,青藏高原多年冻土的角色正被重新认识。多年冻土不仅是全球最大的高海拔“碳库”,更通过能量与水分的耦合过程,主动塑造区域乃至全球的气候格局。近日,我站与南京信息工程大学联合团队在多年冻土—气候反馈研究中取得重要进展。该研究系统构建了“碳反馈”与“能量–水分反馈”双通道驱动的多尺度气... 在全球变暖背景下,青藏高原多年冻土的角色正被重新认识。多年冻土不仅是全球最大的高海拔“碳库”,更通过能量与水分的耦合过程,主动塑造区域乃至全球的气候格局。近日,我站与南京信息工程大学联合团队在多年冻土—气候反馈研究中取得重要进展。该研究系统构建了“碳反馈”与“能量–水分反馈”双通道驱动的多尺度气...
-
28
2025/06
我站在北极和青藏高原土壤导热率对比方面研究取得进展
土壤导热率是陆面过程模拟的关键的热力学输入参数。气候变暖背景下,青藏高原与北极作为高海拔和高纬度多年冻土的典型区域,理清活动层STC动态变化及时空差异对两地多年冻土的模拟预估研究至关重要。然而,受限于原位观测数据匮乏,目前尚缺乏对两地土壤导热率的系统性对比分析。我站李韧研究员课题组针对两地多年冻土区... 土壤导热率是陆面过程模拟的关键的热力学输入参数。气候变暖背景下,青藏高原与北极作为高海拔和高纬度多年冻土的典型区域,理清活动层STC动态变化及时空差异对两地多年冻土的模拟预估研究至关重要。然而,受限于原位观测数据匮乏,目前尚缺乏对两地土壤导热率的系统性对比分析。我站李韧研究员课题组针对两地多年冻土区...
-
08
2025/05
我站青藏高原多年冻土15m深度地温基准数据集(2010–2019)公开发布
固定深度的地温是揭示深层多年冻土热状况的重要指标,对于评估多年冻土的热状态、厚度及其对气候变化的响应具有重要作用。以往研究中,年变化深度(DZAA)处的年平均地温(MAGTDZAA)被广泛用作深层地温的代表性指标。然而,DZAA在不同地区存在显著差异(约3–25m),且会随着多年冻土退化过程发生变化,导致MAGTDZAA在... 固定深度的地温是揭示深层多年冻土热状况的重要指标,对于评估多年冻土的热状态、厚度及其对气候变化的响应具有重要作用。以往研究中,年变化深度(DZAA)处的年平均地温(MAGTDZAA)被广泛用作深层地温的代表性指标。然而,DZAA在不同地区存在显著差异(约3–25m),且会随着多年冻土退化过程发生变化,导致MAGTDZAA在...
-
21
2025/04
我站在青藏高原多年冻土活动层厚度研究取得重要进展
多年冻土受全球变暖影响显著,其活动层厚度(ALT)变化对生态和水文系统意义重大。青藏高原是世界上最高且最广泛的多年冻土区,青藏公路沿线的多年冻土变化对区域生态、工程和社会经济发展影响深远。近期,我站关于青藏高原多年冻土ALT的研究取得重要成果,研究剖析了2004-2023年间青藏公路沿线ALT的动态变化与区域差异... 多年冻土受全球变暖影响显著,其活动层厚度(ALT)变化对生态和水文系统意义重大。青藏高原是世界上最高且最广泛的多年冻土区,青藏公路沿线的多年冻土变化对区域生态、工程和社会经济发展影响深远。近期,我站关于青藏高原多年冻土ALT的研究取得重要成果,研究剖析了2004-2023年间青藏公路沿线ALT的动态变化与区域差异...
-
12
2024/12
我站在环北极多年冻土区湖泊变化研究方面取得进展
自20世纪60年代中期以来,北极地区的气温上升了近3摄氏度,上升速度是全球平均水平的两倍多。快速增长的气温对环北极冻土区生态系统造成了不同程度的影响,包括降水增加、广泛的多年冻土退化和地表水面积的变化。冻土退化最直观的表现之一就是热喀斯特湖塘的出现,多年冻土退化使得地面下沉滑塌继而蓄水形成热喀斯特湖。... 自20世纪60年代中期以来,北极地区的气温上升了近3摄氏度,上升速度是全球平均水平的两倍多。快速增长的气温对环北极冻土区生态系统造成了不同程度的影响,包括降水增加、广泛的多年冻土退化和地表水面积的变化。冻土退化最直观的表现之一就是热喀斯特湖塘的出现,多年冻土退化使得地面下沉滑塌继而蓄水形成热喀斯特湖。...
-
11
2024/12
祁连山山地多年冻土区滑坡活动正在向更高海拔区域发展
近年来,全球气候变暖显著影响了多年冻土区的坡体稳定性,导致滑坡活动风险不断增加。然而,现有研究多集中于单一类型滑坡(如热融滑塌),对滑坡活动的海拔依赖性及其与多年冻土退化之间的关系尚缺乏深入研究。在这一背景下,中国科学院西北生态环境资源研究院冰冻圈科学与冻土工程重点实验室格尔木站吴通华研究员团队... 近年来,全球气候变暖显著影响了多年冻土区的坡体稳定性,导致滑坡活动风险不断增加。然而,现有研究多集中于单一类型滑坡(如热融滑塌),对滑坡活动的海拔依赖性及其与多年冻土退化之间的关系尚缺乏深入研究。在这一背景下,中国科学院西北生态环境资源研究院冰冻圈科学与冻土工程重点实验室格尔木站吴通华研究员团队...
-
10
2024/12
青藏高原多年冻土滑塌对碳、氮和金属元素的影响研究取得进展
气候变暖引发的多年冻土退化已成为全球气候变化的重要环境问题。最新研究表明,热喀斯特的形成会加速土壤有机碳(SOC)的损失,改变土壤氮(TN)的转化过程,并促进汞等金属元素(MEs)的释放。同时,多年冻土中约30%至80%的SOC可能通过与MEs的矿物结合而受到保护,避免微生物分解,从而稳定碳库并减缓温室气体的排放。... 气候变暖引发的多年冻土退化已成为全球气候变化的重要环境问题。最新研究表明,热喀斯特的形成会加速土壤有机碳(SOC)的损失,改变土壤氮(TN)的转化过程,并促进汞等金属元素(MEs)的释放。同时,多年冻土中约30%至80%的SOC可能通过与MEs的矿物结合而受到保护,避免微生物分解,从而稳定碳库并减缓温室气体的排放。...
-
09
2024/12
我站在蒙古高原生态系统服务时空变化和管理措施研究方面取得进展
蒙古高原在全球气候和生态系统中扮演着举足轻重的角色,但由于其干旱的气候条件和有限的植被覆盖,该地区的生态系统极为脆弱。近年来,气候变暖和人类活动的增加,对蒙古高原的生态环境产生了深远的影响。为了平衡经济的可持续发展与环境保护,迫切需要对蒙古高原的生态系统进行全面评估,并制定相应的保护和管理策略。... 蒙古高原在全球气候和生态系统中扮演着举足轻重的角色,但由于其干旱的气候条件和有限的植被覆盖,该地区的生态系统极为脆弱。近年来,气候变暖和人类活动的增加,对蒙古高原的生态环境产生了深远的影响。为了平衡经济的可持续发展与环境保护,迫切需要对蒙古高原的生态系统进行全面评估,并制定相应的保护和管理策略。...
-
16
2024/10
北半球多年冻土退化的空间差异研究取得新进展
北半球多年冻土面积约占陆地面积的22 %;随着气候变化,全球范围内的多年冻土正经历不同程度的退化。位于环北极地区是高纬度多年冻土分布的主要区域,而青藏高原是中低纬度多年冻土分布面积最大的地区,北半球高纬度和高海拔多年冻土区对气候变化异常敏感,其增温速率明显高于其它地区。多年冻土的退化会对地下冰和有机... 北半球多年冻土面积约占陆地面积的22 %;随着气候变化,全球范围内的多年冻土正经历不同程度的退化。位于环北极地区是高纬度多年冻土分布的主要区域,而青藏高原是中低纬度多年冻土分布面积最大的地区,北半球高纬度和高海拔多年冻土区对气候变化异常敏感,其增温速率明显高于其它地区。多年冻土的退化会对地下冰和有机...














