通过大量调查和研究,开展了植被和土壤有机碳动态过程监测,系统研究了青藏高原多年冻土区有机碳的空间分布和动态过程,评估了高原多年冻土区有机碳的源汇效应
约占全球陆表四分之一的多年冻土区的土壤有机碳库却占据着全球陆表土壤有机碳的一半以上。全球变暖、多年冻土退化背景下,多年冻土区土壤有机碳的循环过程和源汇效应引起了全球性的关注。本站研究团队围绕高原碳循环过程,进行了系统研究,认为高原有机碳可能经历原地分解释放过程和通过水土流失而进入水体排放两个主要过程。结果显示,高寒沼泽草甸和草甸区土壤中活性碳的含量和比例最高,主要受水热条件的影响。高原多年冻土区的土壤轻组碳氮的含量和相对比例都要高于非多年冻土区,多年冻土区土壤有机碳分解潜力大于非多年冻土区。土壤温度和水分的季节变化特性是影响土壤活性碳氮组分季节波动的主要原因,沼泽草甸和草甸土壤活性碳氮组分的季节变化对温湿度的变化响应更迅速。通过对典型小流域的土壤碳输移进行季节性动态监测,并与地温和活动层资料关联分析发现,活动层厚度增加会导致土壤中可溶性有机碳的输移量减少,进入水体的生物可利用性降低。原位监测结果表明,草原生态系统碳通量高于草甸和沼泽草甸,非多年冻土区高于多年冻土区。在多年冻土退化的热喀斯特地区,生态系统会由碳汇向碳源转变,同时甲烷的释放量增加而氧化亚氮释放量减小。通过高通量测序方法对多年冻土区土壤细菌群落的分析发现,多年冻土退化会改变土壤水分、温度和基质可利用性而影响到土壤酶活性和微生物群落,进而影响到碳氮循环。

多年冻土区生态系统的碳通量及多年冻土影响的水热机制

多年冻土区环境因子改变对土壤酶活性影响的示意图
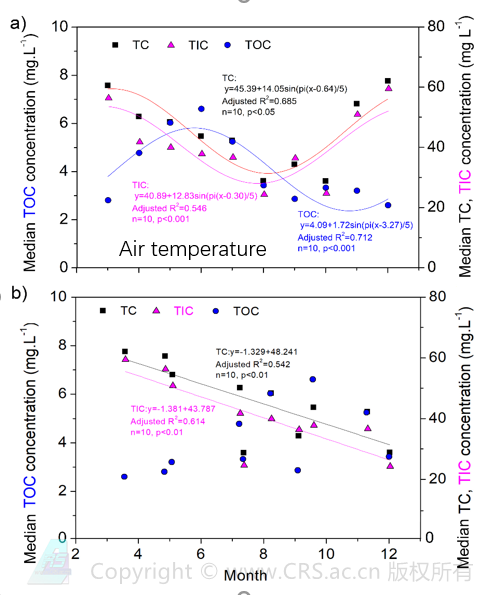
对于高原多年冻土区河流碳浓度的监测结果显示,河水中总有机碳的变化规律除了受到降雨的影响以外,在夏季还受到植物生长及淋溶增强的影响,河流的碳氮磷输移都有明显的季节性变化规律,植物凋落物可能是溶解性有机碳的主要来源。总体而言,高原多年冻土区仍然是弱碳汇,全球变暖将进一步削弱其碳汇能力。

青藏高原河流碳浓度的中位数值与温度及月份的关系
本成果共发表论文32篇,其中SCI论文23篇。SCI论文中影响因子在3.0以上的共计10篇,发表在Science of the Total Environment、Permafrost and Periglacial Processes、Journal of Geophysical Research-Biogeoscience、Geophysical Research Letters、Agricultural and Forest Meteorology、 Geoderma、Catena等多年冻土研究领域的顶级期刊上。SCI论文的被引用次数已达到223次,被引用超过10次的论文有9篇,其中最高的一篇已被引用37次。
附件下载: